Buongiorno professore, stavo seguendo la lezione sulla definizione di funzione e la composizione di funzioni da remoto e stavo provando come esercizio a dare a quest’ultima una definizione formale.
Qualcosa ho tirato fuori, solo ho qualche dubbi sulla correttezza logica di tale funzione e sopratutto sulla sua efficacia visto che mi sembra eccessivamente lunga.
Potrebbe consigliarmi un modo per migliorarla?
Allego qui sotto una foto:
Composizione di funzioni
-
- Nuovo utente
- Posts: 3
- Joined: Tuesday 30 September 2025, 11:14
Composizione di funzioni
- Attachments
-
- IMG_2042.jpeg (669.09 KiB) Viewed 199 times
-
- Nuovo utente
- Posts: 3
- Joined: Tuesday 30 September 2025, 11:14
Re: Composizione di funzioni
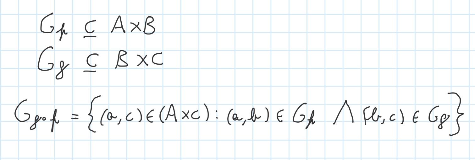
Sull’immagine ho sbagliato a scrivere l’ultimo pezzo non che collega B con A ma B con C
- Massimo Gobbino
- Amministratore del Sito
- Posts: 2543
- Joined: Monday 29 November 2004, 19:00
- Location: Pisa
- Contact:
Re: Composizione di funzioni
Occhio, il disegno in fondo non va bene, o per lo meno la sua metà destra non rappresenta una funzione da B a C. Infatti, per avere una funzione da B a C, deve partire esattamente una freccia da ogni elemento di B.
Non capisco poi cosa vorrebbe essere quella formula enorme all'inizio (un insieme? una proposizione? un predicato?). Così come è scritta mi pare che non abbia nessun senso.
La definizione formale di composizione è quella a metà della pagina 2 della Lezione 3 di quest'anno.
Non capisco poi cosa vorrebbe essere quella formula enorme all'inizio (un insieme? una proposizione? un predicato?). Così come è scritta mi pare che non abbia nessun senso.
La definizione formale di composizione è quella a metà della pagina 2 della Lezione 3 di quest'anno.
-
- Nuovo utente
- Posts: 3
- Joined: Tuesday 30 September 2025, 11:14
Re: Composizione di funzioni
La ringrazio della risposta.
Ho visto anche la lezione di quest’anno sulle funzioni in cui è proprio scritta la definizione di funzione composta, in questo modo ho corretto gli errori, solamente ho un dubbio: All’inizio vengono definite le coppie di Gf e Gg come sottoinsiemi del prodotto cartesiano, ma nella definizione di funzione composta sarebbe meglio specificare che l’elemento b appartiene all’insieme B oppure è superfluo?
Infine ho provato a scrivere un’altra definizione sia per le funzioni che per le funzioni composte e volevo chiederle se le trova corrette:
-Questa è la definizione di funzione vista come insieme per proprietà, in realtà è praticamente identica a quella scritta nel pdf solamente volevo capire se scritti dopo il tale che i quantificatori vanno bene: -Mentre quest’altra è la definizione di funzione composta:
Ho visto anche la lezione di quest’anno sulle funzioni in cui è proprio scritta la definizione di funzione composta, in questo modo ho corretto gli errori, solamente ho un dubbio: All’inizio vengono definite le coppie di Gf e Gg come sottoinsiemi del prodotto cartesiano, ma nella definizione di funzione composta sarebbe meglio specificare che l’elemento b appartiene all’insieme B oppure è superfluo?
Infine ho provato a scrivere un’altra definizione sia per le funzioni che per le funzioni composte e volevo chiederle se le trova corrette:
-Questa è la definizione di funzione vista come insieme per proprietà, in realtà è praticamente identica a quella scritta nel pdf solamente volevo capire se scritti dopo il tale che i quantificatori vanno bene: -Mentre quest’altra è la definizione di funzione composta: